2020-2021学年北师大版八年级数学下册第五章分式的乘除法同步测试题及答案(Word版)

2020-2021学年北师大版八年级数学下册第五章分式的乘除法同步测试题及答案(Word版)-六八学科资料网
2020-2021学年北师大版八年级数学下册第五章分式的乘除法同步测试题及答案(Word版)
此内容为付费资源,请付费后查看
10
立即购买
您当前未登录!建议登陆后购买,可保存购买订单
格式doc
页数11 页
大小243.00 KB
付费资源
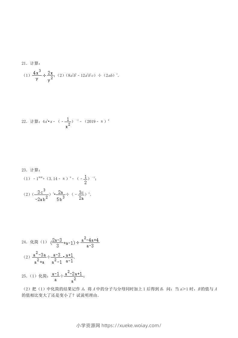
图片[1]-2020-2021学年北师大版八年级数学下册第五章分式的乘除法同步测试题及答案(Word版)-六八学科资料网
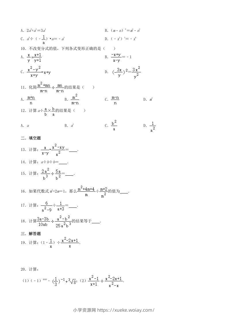
图片[2]-2020-2021学年北师大版八年级数学下册第五章分式的乘除法同步测试题及答案(Word版)-六八学科资料网
图片[3]-2020-2021学年北师大版八年级数学下册第五章分式的乘除法同步测试题及答案(Word版)-六八学科资料网

预览已结束,还剩8页未读,开通会员后可免费下载高清完整文档

© 版权声明
THE END
喜欢就支持一下吧
点赞14 分享
评论 抢沙发

请登录后发表评论

    暂无评论内容